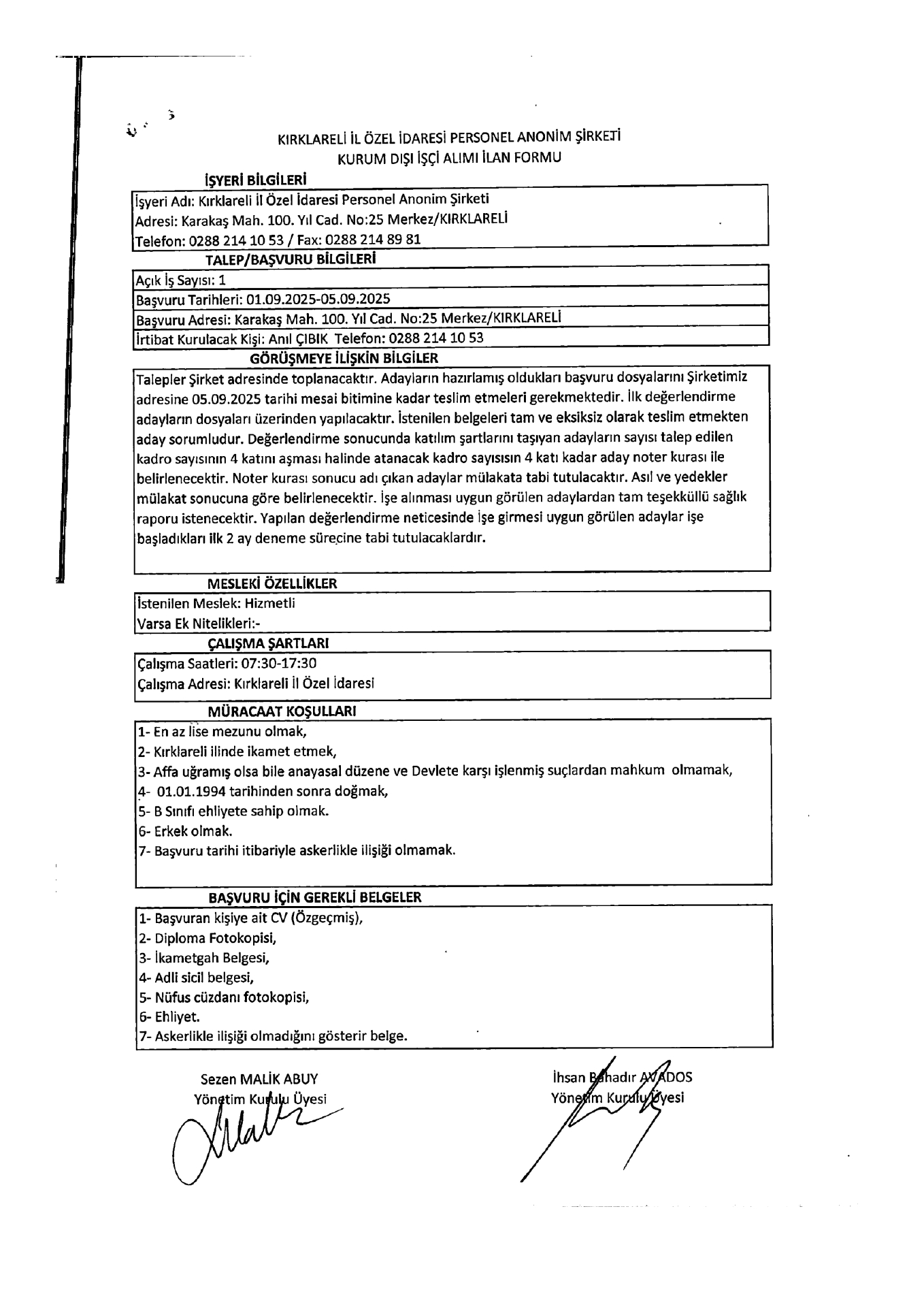
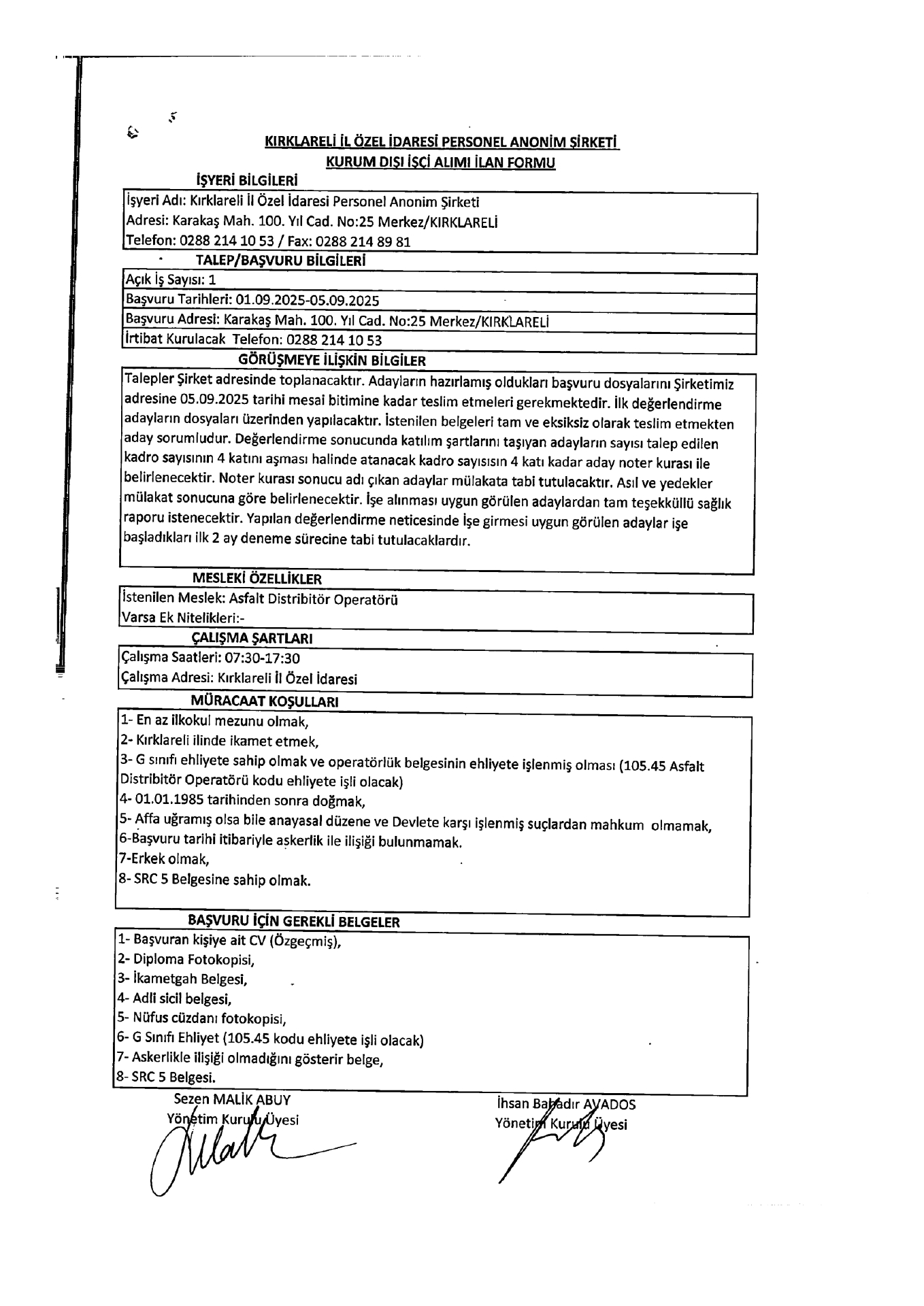
Kırklareli İl Özel İdaresi 12 İşçi Alacak

Kırklareli İl Özel İdaresi 12 İşçi Alacak. Son başvuru tarihi 5 eylül 2025

Kaynak : İşkur
İlan Giriş : 29 Ağustos 2025 23:49, Son Güncelleme : 29 Ağustos 2025 23:47
Kırklareli İl Özel İdaresi 12 İşçi Alacak
<>Maaş robotuna ulaşmak için tıklayınız

İlanlardan anında haberdar olabilmek için Android ve IOS uygulamalarımızı indirip bildirimleri açabilirsiniz. Memurlar.net'in Android uygulaması için tıklayınız.