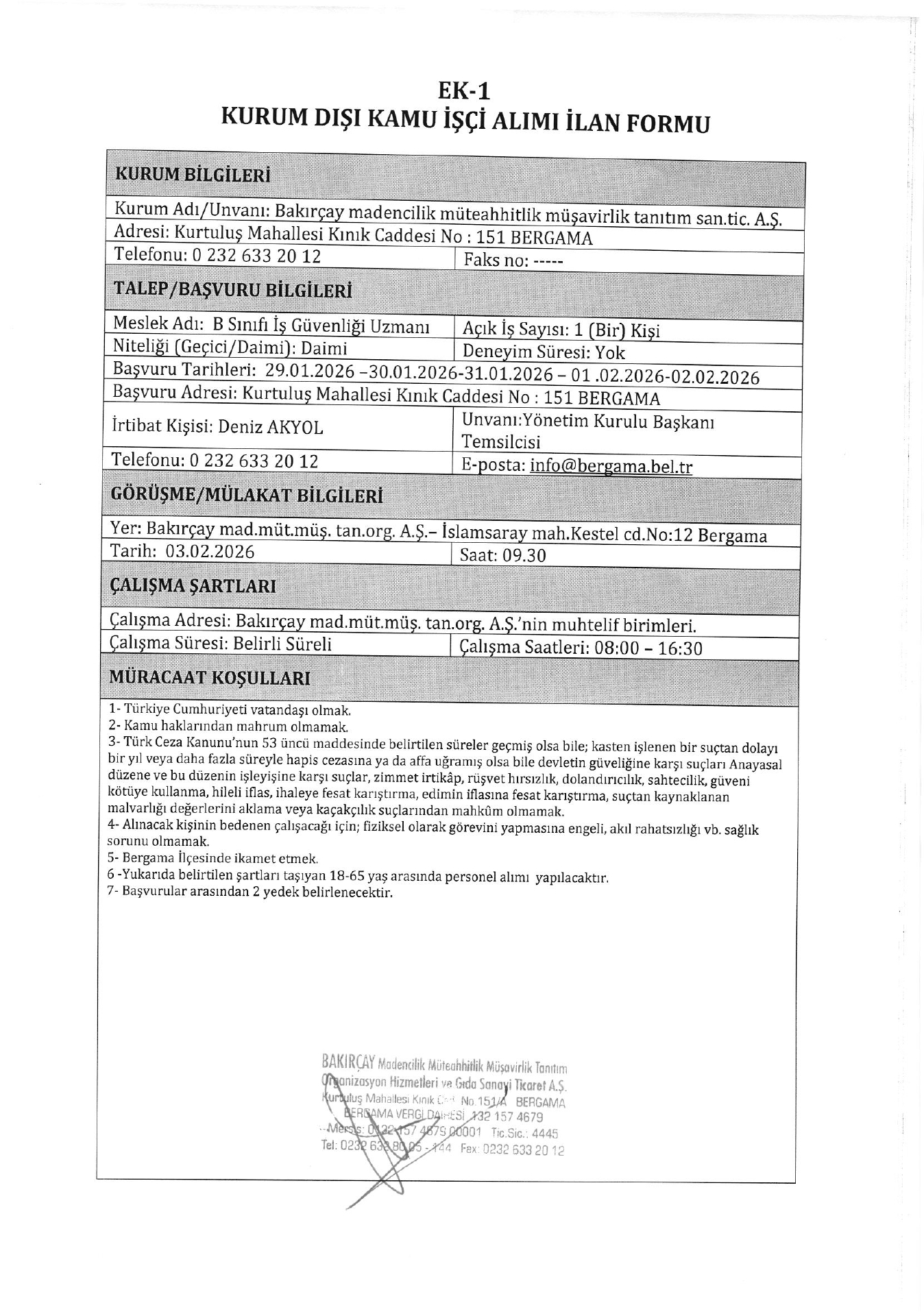
Ana sayfaDaimi İşçi İlanları İzmir Bakırçay Madencilik 2 İşçi Alacak İzmir Bakırçay Madencilik 2 İşçi Alacak. Son başvuru tarihi 30 Ocak 2026 Kaynak : İşkur İlan Giriş : 27 Ocak 2026 00:56, Son Güncelleme : 27 Ocak 2026 03:30 Yazdır Yorumlar (0) Abone Ol