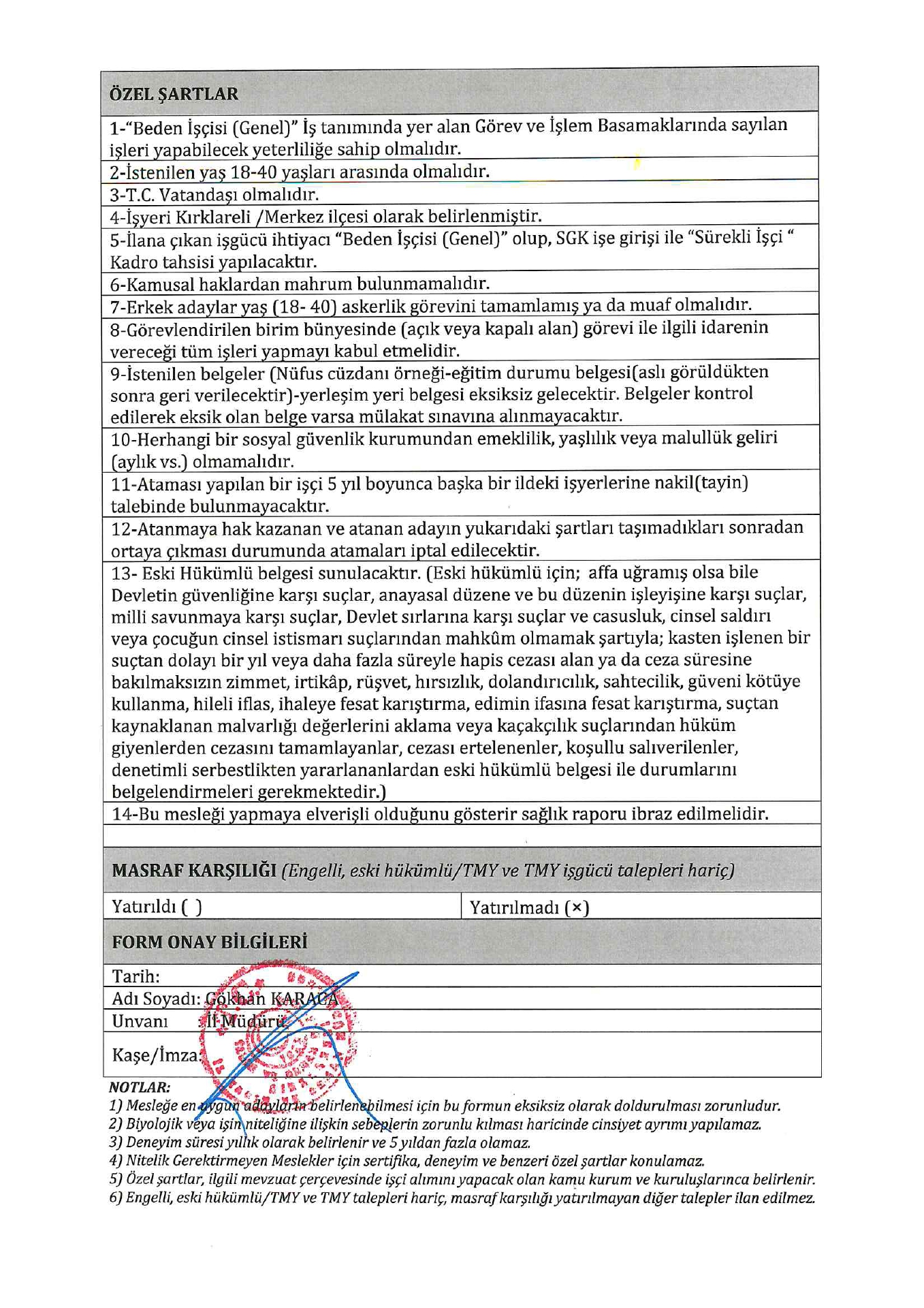
Ana sayfaDaimi İşçi İlanlarıAna sayfaEski Hükümlü Tarım ve Orman Bakanlığı 1 Eski Hükümlü İşçi Alacak Tarım ve Orman Bakanlığı 1 Eski Hükümlü İşçi Alacak. Son başvuru tarihi 27 Şubat 2026 Kaynak : Kamuilan İlan Giriş : 23 Şubat 2026 00:40, Son Güncelleme : 23 Şubat 2026 00:18 Yazdır Yorumlar (0) Abone Ol