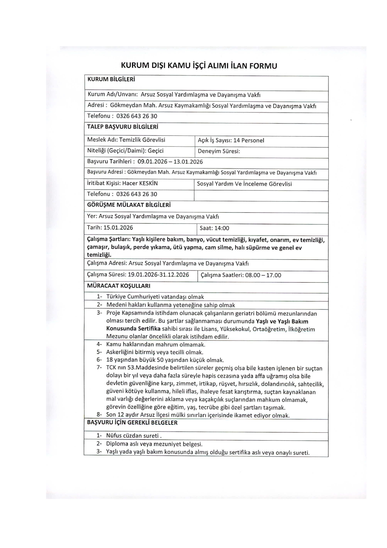
Ana sayfaSYDV İlanlarıAna sayfaGeçici İşçi İlanları Arsuz SYDV Geçici 14 İşçi Alacak Arsuz SYDV Geçici 14 İşçi Alacak. Son başvuru tarihi 13 Ocak 2026 Kaynak : İşkur İlan Giriş : 10 Ocak 2026 00:12, Son Güncelleme : 10 Ocak 2026 00:23 Yazdır Yorumlar (0) Abone Ol