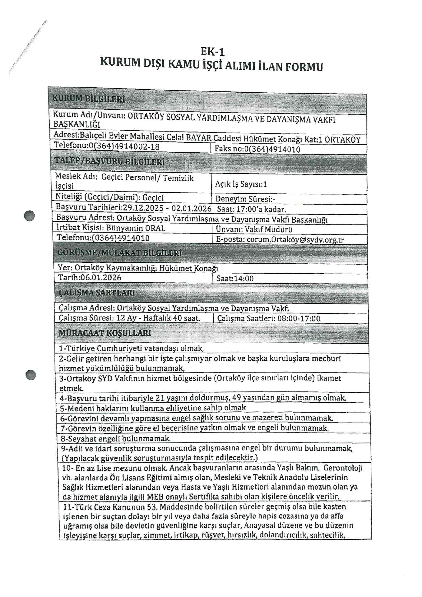
Ana sayfaSYDV İlanlarıAna sayfaGeçici İşçi İlanları Çorum Ortaköy SYDV Geçici 1 İşçi Alacak Çorum Ortaköy SYDV Geçici 1 İşçi Alacak. Son başvuru tarihi 2 Ocak 2026 Kaynak : İşkur İlan Giriş : 29 Aralık 2025 23:29, Son Güncelleme : 30 Aralık 2025 05:06 Yazdır Yorumlar (0) Abone Ol