Doğu Akdeniz Kalkınma Ajansı 5 personel alacak

Doğu Akdeniz Kalkınma Ajansı 5 personel alacak. Son başvuru tarihi 1 Şubat 2023

Kaynak : Resmi Gazete
İlan Giriş : 23 Aralık 2025 00:27, Son Güncelleme : 23 Aralık 2025 01:00
Doğu Akdeniz Kalkınma Ajansı 5 personel alacak

Doğu Akdeniz Kalkınma Ajansından:

PERSONEL ALIM İLANI

T.C. Doğu Akdeniz Kalkınma Ajansı, 4 sayılı Bakanlıklara Bağlı, İlgili, İlişkili Kurum ve Kuruluşlar İle Diğer Kurum ve Kuruluşların Teşkilatı Hakkında Cumhurbaşkanlığı Kararnamesi ile Kalkınma Ajansları Personel Yönetmeliği hükümleri çerçevesinde, TR63 Bölgesinin (Hatay, Kahramanmaraş ve Osmaniye illeri) kalkınmasına ve gelişmesine hizmet etmek ve katkıda bulunmak isteyen, yeniliğe ve gelişime açık, analitik düşünebilen, değişen çalışma koşullarına uyum sağlayabilen, hizmet ve kalkınma bilinciyle ve sorumluluğuyla hareket eden, seyahat engeli olmayan 5 (beş) Uzman, 2 (iki) Destek Personeli (büro görevlisi) alımı gerçekleştirecektir. Sınavda başarılı olanlar, Ajans Genel Sekreterliği'nin uygun göreceği ajans illerinin birinde görevlendirilmeyi kabul etmiş sayılırlar.

A. ADAYLARDA ARANAN ŞARTLAR

Adayların aşağıda belirtilen genel şartların yanı sıra başvuruda bulunacakları pozisyonlara ilişkin özel şartları da taşımaları gerekmektedir.

1. İŞE ALINMADA ARANACAK GENEL ŞARTLAR

a) Türk vatandaşı olmak,

b) Kamu haklarından mahrum bulunmamak,

e) Affa uğramış olsalar bile Devletin şahsiyetine karşı işlenen suçlarla, zimmet, ihtilas, irtikap, rüşvet, hırsızlık, dolandırıcılık, sahtecilik, inancı kötüye kullanma, dolanlı iflas gibi yüz kızartıcı veya şeref ve haysiyeti kırıcı suçtan veya istimal ve istihlak kaçakçılığı hariç kaçakçılık, resmi ihale vc alım satımlara fesat karıştırma. Devlet sularını açığa vurma suçlarından dolayı hükümlü bulunmamak,

d) Güvenlik soruşturması ve/veya arşiv araştırması yapılmış olmak,

e) Görevini devamlı yapmasına engel olabilecek akı! hastalığı bulunmamak, az tehlikeli işyerlerinde (bürolar, ofisler ve restoranlar) çalışanlar için gerekli işe giriş sağlık raporunu almasına engel herhangi bir durumu bulunmamak,

f) Askerlikle ilgisi bulunmamak, askerlik çağına gelmişse muvazzaf askerlik hizmetini yapmış yahut ertelenmiş veya yedek sınıfa geçirilmiş olmak.

UZMAN PERSONEL İÇİN SINAVA GİRİŞ ŞARTLARI

2.1 Sınava Giriş Şartları

Ajansımızın TR63 bölgesinin (Hatay, Kahramanmaraş, Osmaniye) gelişimine yönelik yürüttüğü çalışmalarda yer almak üzere 5 (beş) uzman personel istihdam edilecektir. Uzman personel olarak istihdam edilecek personel için sınava giriş şartları ve tercih nedenleri aşağıda belirtilmiştir;

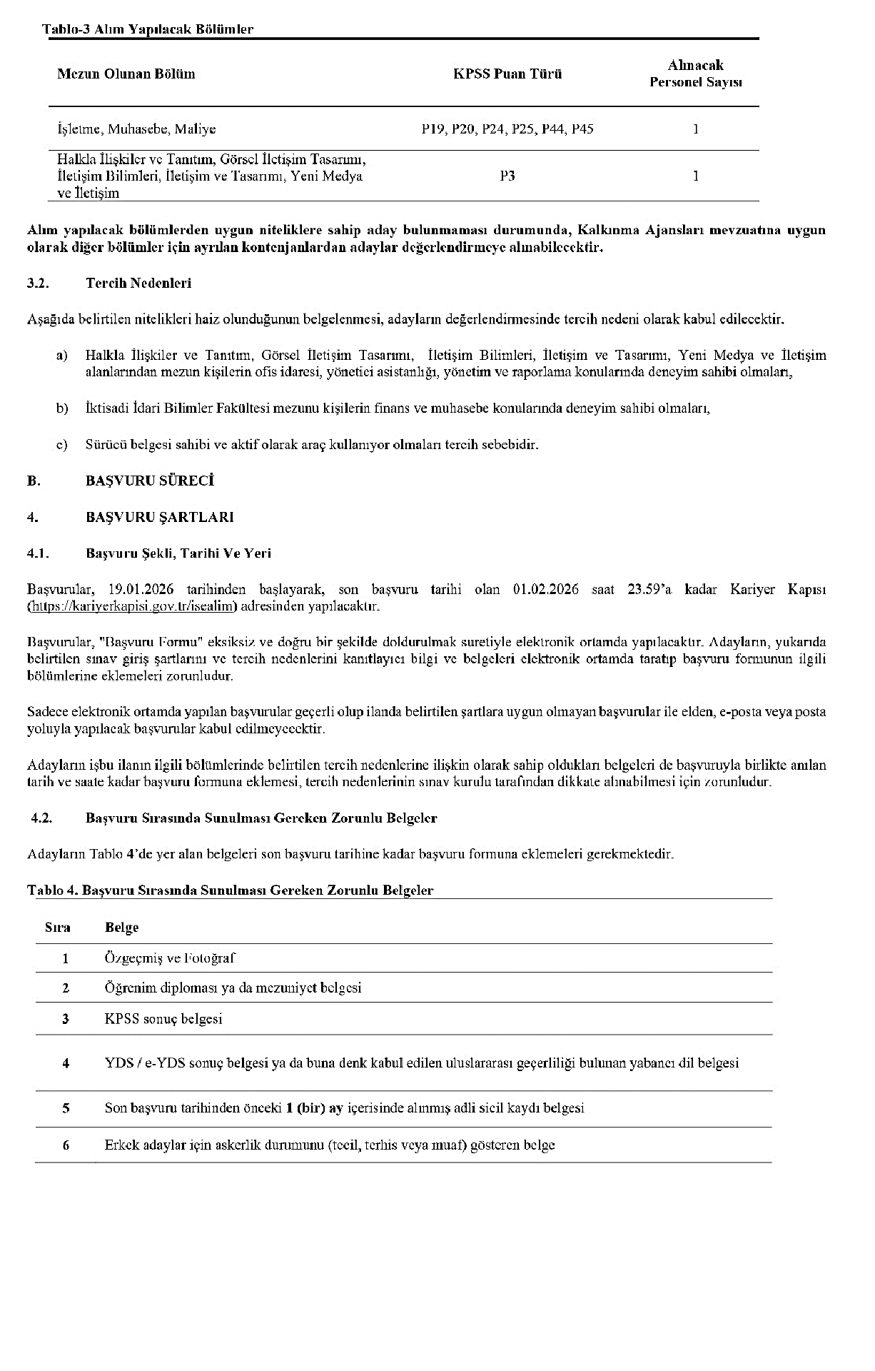
a) En az dört yıllık lisans eğitimi veren yükseköğretim kum m kırının veya bunlara denkliği Yükseköğretim Kurulu (YÖK) tarafından kabul edilen yurt İçindeki veya yurt dışındaki yükseköğretim kurumlanılın Tablo-2'dc belirtilen bölümlerinden mezun olmak,

b) Ölçme, Seçme ve Yerleştirme Merkezi (ÖSYM) tarafından yapılan son başvuru tarihi itibarıyla geçerliliği bulunan KPSS'den mezun oldukları öğrenim dallarına göre Tablo-2'de belirtilen ilgili puan türlerinden en az 80 (seksen) puan almış olmak,

e) YDS veya c-YDS'de İngilizce dilinden, son başvuru tarihi itibarıyla son 5 (beş) yıl içerisinde en az 70 (yetmiş) puan almış veya buna denk kabul edilen geçerlilik süresi dolmamış uluslararası geçerliliği bulunan belgeye sahip olmak. (Denklikle OSYM'nin dil eşdeğerliğine ilişkin https://www.osym.gov.tr/TR, 103 5 8/esdegerlikler.html adresinde belirtilen "Eşdeğerlik

değerlendirmesi, sınavm gerçekleştiği tarihte geçerli olan dokümana göre yapılmalıdır." esasına göre ilgili tarihe denk gelen resmi denklik çizelgesi teme! alınmakladır. Mevzuat gereği ÜDS/YÖKDİL kabul edilmemektedir.)

7. SINAV VE SONUÇLARIN İLANI

Sınav Kurulu üyeleri adayın çalıştığı alandaki uzmanlık düzeyi, mesleki tecrübe ve bilgi birikimi, yabancı dil bilgisi ve bilinen yabancı dili kullanabilme düzeyi, adayın kavrayış, ifade ve temsil kabiliyeti, muhakeme gücü, görevlendirilecek pozisyona yatkınlık, davranış ve tepkilerinin mesleğe uygunluğu gibi niteliklere sahip olup olmadığını da göz önüne alarak her adaya ayrı ayrı not verir. Sınav Kurulu bu hususları tespit etmek üzere uygun gördüğü bilgi ve belgeleri adaylardan ister.

Sınav Kurulu üyelerinin verdikleri notların aritmetik ortalaması sınav sonucunu gösterir. Sınav basan notu 100 (yüz) puan üzerinden asgari 70 (yetmiş) puandır. Ancak, sınavda başarılı olanların sayısı ilan edilen pozisyon sayısından fazla ise, en yüksek puan alan adaydan başlamak üzere sıralama yapılarak, pozisyon sayısı kadar aday sınavı kazanmış kabul edilir. Sınavda 70 (yetmiş)'in üzerinde puan almış olmak bu sıralamaya giremeyen adaylar için kazanılmış hak teşkil etmez,

Sınav Kurulu, başarı sırasına göre sıralamaya tabi tutmak suretiyle başarılı adaylar arasından, boş pozisyon sayısının yansı kadar yedek aday belirleyebilir. Yedek liste oluşturulan durumlarda asil adaylardan göreve başlamayanların yerine yahut 6 (altı) ay içerisinde ilgili pozisyonun boşalması halinde, yedek adaylar sırasına göre göreve davet edilir. Bir pozisyonda başarılı bulunan asıl adayın göreve başlamaması vc yedeğinin de olmaması veya yedeği olmasına rağmen yedeğinin dc göreve başlamaması veya başlamasına rağmen ajanstan ayrılması halinde diğer pozisyonlar için belirlenen yedek adaylar başarı sırasına göre aynı süre içinde istihdam edilebilir. Bu kişiler hakkında Kalkınma Ajansları Personel Yönctmeliği'nin ilgili hükümleri aynen uygulanır.

Belli bir öğrenim d alı. pozisyon için ilan edilen sayı kadar adayın başarılı olamaması nedeniyle boş kalan pozisyonlar, Sınav Kurulunun uygun görüşü ile başka bir öğrenim dalından sınava katılıp başarılı olmuş adayların sınavdaki haşan sırasına göre doldurulabilir.

Sınav Kurulu, sınav sonunda ortalama başarı puanım düşük bulduğu takdirde sınav duyurusunda ilan edilenden daha az sayıda personel alma ya da belirtilen alanda personel almama hakkına sahiptir.

Genel Sekreterlikçe sınav sonuçları. Sınav Kutulu tarafından sonuçların kendisine intikal ettirildiği tarihten sonra yasal yükümlülüklerin yerine getirilmesini takiben Ajansın internet sitesinde ilan edilir ve ayrıca sınav sonucu, göreve başlama çağrısı ile birlikte, kazanan adaylara yazılı olarak bildirilir.

8. GÖREVLENDİRME

Sınavı kazanan adayların, Ajanstaki pozisyonlarda görevlendirilmesi işlemlerinin yapılabilmesi için, ilgililerin göreve başlama çağlısının kendilerine tebliğ edildiği günü müteakip 15 (on beş) gün içerisinde Genel Sekreterliğe müracaat etmeleri gerekir.

Yapılan tebligata rağmen, Ajans tarafindan kabul edilebilir bir belgeyle, ispatı mümkün mücbir sebepler olmaksızın 15 (on beş) gün içerisinde müracaat etmeyenler ile tebligat adreslerinde bulunmamaları nedeniyle kendilerine tebligat yapılamamış olanların görevlendirilmesi yapılmaz. Belgeyle ispatı mümkün bir makul sebep nedeniyle göreve başlamama hali 2 (iki) ayı aşamaz.

Giriş Sınavında hile yaptığı, sahte belge ibraz ettiği veya gerçeğe aykırı beyanda bulunduğu ya da Ajansta çalışmak için gerekli nitelikleri taşımadıkları sonradan anlaşılan adayların görevlendirme onayları derhal iptal edilerek iş sözleşmeleri feshedilir ve kendileri hakkında gerekli yasal işlemler yapılır.

Yarışına sınavı sonucunda başarılı olan adaylar ile 2 (iki) ayı deneme süresi olmak üzere, Genel Sekreterin önerisi üzerine Yönetim Kurulu kararı ile belirsiz süreli iş sözleşmesi yapılır. Deneme süresi sonunda Ajansta çalışması uygun bulunmayan personelin iş sözleşmesi, Yönetim Kurulunun karan ile bildirim süresine gerek olmaksızın ve tazminatsız feshedilir. Kişinin çalıştığı günlere ilişkin ücret ve diğer hakları saklıdır.

9. BİLGİ ALMA

Personel alımı ile ilgili aşağıda yer alan telefon ve e-posta adresinden bilgi alınabilir.

Telefon: 0326 606 00 01

E-posta: [email protected]

Kamuoyuna. Hanen Duyurulur.

13596/1-1