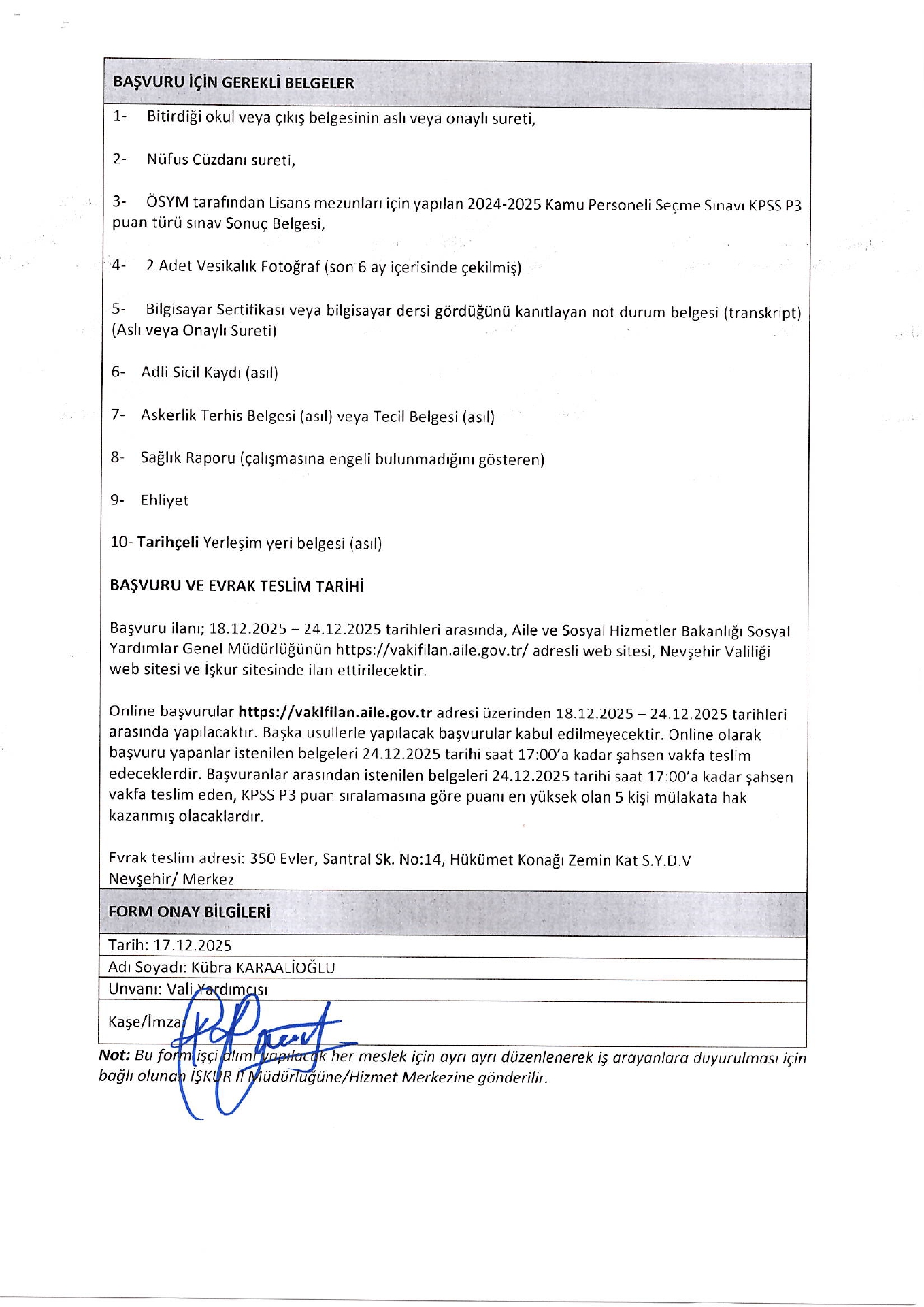
Ana sayfaDaimi İşçi İlanlarıAna sayfaSYDV İlanları Nevşehir Merkez SYDV 1 İşçi Alacak Nevşehir Merkez SYDV 1 İşçi Alacak.Son Başvuru Tarihi 24 Aralık 2025 Kaynak : İşkur İlan Giriş : 18 Aralık 2025 00:31, Son Güncelleme : 18 Aralık 2025 00:43 Yazdır Yorumlar (0) Abone Ol