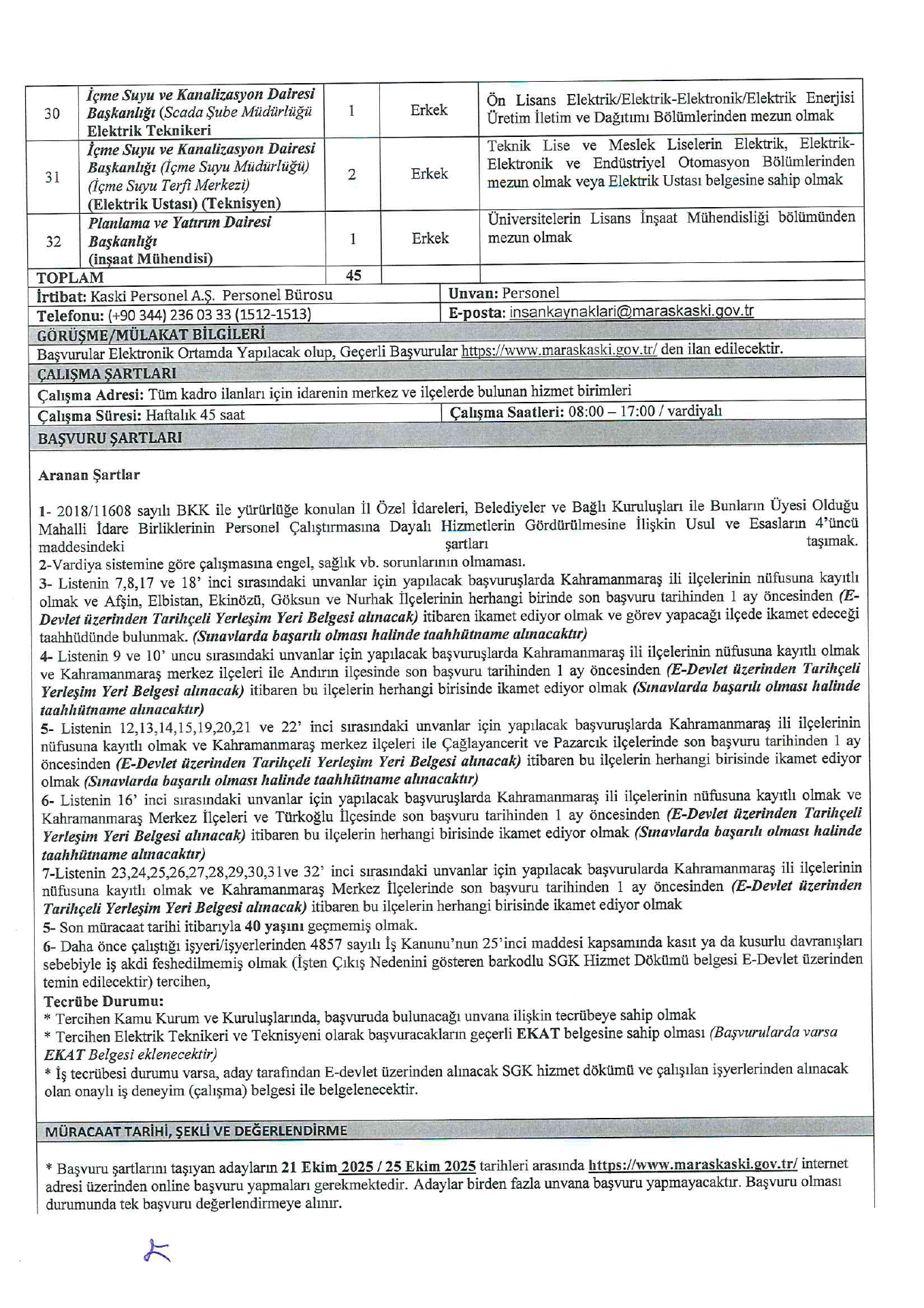
Ana sayfaDaimi İşçi İlanları Kahramanmaraş Su ve Kanalizasyon İdaresi 45 İşçi Alacak Kaynak : İşkur İlan Giriş : 21 Ekim 2025 23:19, Son Güncelleme : 21 Ekim 2025 23:26 Yazdır Yorumlar (0) Abone Ol