Doğa Koruma ve Milli Parklar Genel Müdürlüğü 240 sözleşmeli personel alacak

Doğa Koruma ve Milli Parklar Genel Müdürlüğü 240 sözleşmeli personel alacak. Son başvuru tarihi 17 Ekim 2025

Kaynak : Resmi Gazete
İlan Giriş : 07 Ekim 2025 00:10, Son Güncelleme : 07 Ekim 2025 08:19
Doğa Koruma ve Milli Parklar Genel Müdürlüğü 240 sözleşmeli personel alacak

Doğa Koruma ve Milli Parklar Genel Müdürlüğünden: SÖZLEŞMELİ PERSONEL ALIMI İLANI

1. ALIMA İLİŞKİN GENEL BİLGİLER

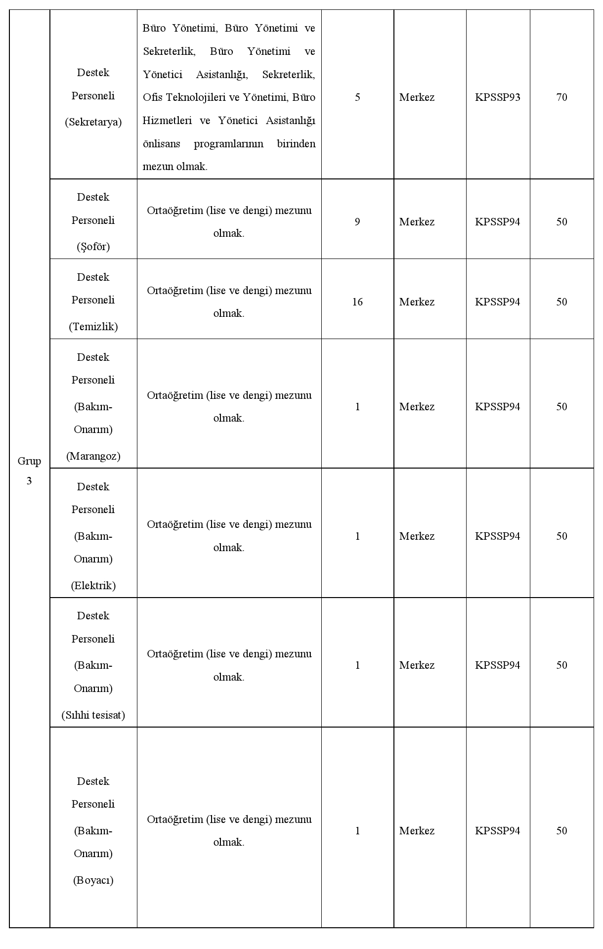
Doğa Koruma ve Milli Parklar Genel Müdürlüğü merkez ve taşra teşkilatında 657 sayılı Devlet Memurları Kanunu'nun 4 üncü maddesinin (B) fıkrasına göre istihdam edilmek üzere 06/06//1978 tarihli ve 7/15754 sayılı Bakanlar Kurulu Kararı'na ekli Sözleşmeli Personel Çalıştırılmasına İlişkin Esaslar'ın Ek 2'inci maddesinin (b) fıkrası uyarınca sözleşmeli personel pozisyonlarında istihdam edilmek üzere; merkez teşkilatında 51 büro personeli, 34 destek personeli, 30 mühendis, 5 avukat, 6 veteriner hekim, 2 biolog, 4 şehir plancısı, 7 tekniker, 3 mimar, 1 arkeolog ile taşra teşkilatında 46 koruma ve güvenlik görevlisi, 33 destek personeli, 7 orman muhafaza memuru, 3 mühendis, 6 tekniker ve 2 büro personeli olmak üzere toplam 240 personel alımı yapılacaktır.

2. BAŞVURU ŞARTLARI ve KONTENJANLAR

A. Genel Şartlar:

1- 657 sayılı Devlet Memurları Kanunu'nun 48/A maddesinde sayılan genel şartları taşımak.

2- Görevini devamlı yapmasına engel olabilecek hastalığı ya da vücut ve akıl hastalığı engeli bulunmamak.

3- Tercih edilecek pozisyon için aranan nitelikleri taşıyor olmak.

4- Herhangi bir Sosyal Güvenlik Kurumundan emeklilik veya yaşlılık aylığı almıyor olmak.

5- Herhangi bir sebeple kamu görevinden çıkarılmamış olmak.

6- Güvenlik soruşturması ve/veya arşiv araştırması olumlu sonuçlanmak.

7- İlanda istenilen sertifika ve belgelere (sağlık belgeleri hariç) ilan tarihinden önce sahip olunması gerekmektedir.

8- Sözleşmeli Personel Çalıştırılmasına İlişkin Esasların Ek 1 inci maddesinin dördüncü fıkrasında belirtilen şartları taşıyor olmak,

9- 2025 Yılına Ait Genel Yatırım ve Finansman Programının Uygulanmasına İlişkin Usul ve Esasların Belirlenmesine Dair Tebliğ'in 7 nci maddesinde belirtilen şartları taşıyor olmak.

10- İlanın son başvuru tarihi itibariyle 35 (otuz beş) yaşını doldurmamış olmak.

Özel Şartlar:

Koruma ve Güvenlik Görevlisi pozisyonu için;

a) Taşra teşkilatı kontenjan tablosunda (Tablo-2) yer alan öğrenim programlarından veya bunlara denk olduğu Yükseköğretim Kurulu tarafından onaylanmış yurt içi veya yurt dışı programlarından mezun olmak,

b) 2024 yılı Kamu Personel Seçme Sınavında (KPSS (B) Ön Lisans), taşra teşkilatı kontenjan dağılımı tablosunda (Tablo-2) yer alan KPSS puan türünden asgari 70 (yetmiş) ve üzerinde puan almış olmak.

c) İlk başvuru tarihi itibarıyla geçerlilik süresinin dolmasına en az 6 (altı) ay kalmış olan özel güvenlik görevlisi kimlik kartına sahip olmak, (asil listeye giren adayların atama için bu belgeyi ibraz edecekleri zaman belgenin geçerlilik süresinin dolmamış olması gerekir.)

d) 10/06/2004 tarihli ve 5188 sayılı Özel Güvenlik Hizmetlerine Dair Kanunun 10 uncu maddesinde yer alan şartları taşıyor olmak,

e) Özel Güvenlik Görevlileri Sağlık Şartları Yönetmeliğinde belirtilen sağlık şartlarına sahip olmak,

f) Özel Güvenlik Hizmetlerine Dair Kanunun Uygulanmasına İlişkin Yönetmelik'in 18 inci maddesinde belirtilen şartları taşıyor olmak,

g) 160 cm'den kısa boylu olmamak,

h) Boy uzunluğunun santimetre cinsinden son iki rakamı ile kilosu arasındaki fark 13'ten fazla, 17'den az olmamak, (Örneğin;180 cm boyunda olan bir adayın kilosunun 80+13=93'ten fazla, 80-17=63'ten az olmaması gerekmektedir.)

i) Atamaya hak kazananların aşağıda belirtilen hususları kapsayacak şekilde yetkili sağlık kuruluşlarından ilan tarihinden itibaren son 6 (altı) ay içerisinde alınmış "Özel Güvenlik Görevlisi Olur" ibareli sağlık kurulu raporuna sahip olmaları gerekmektedir. (Psikiyatri: Psikiyatrik bir hastalık veya kişilik bozukluğu (Psikopati); alkol ve uyuşturucu bağımlılığı olmamak. Nöroloji: Özel güvenlik hizmetini yerine getirmesine engel teşkil edebilecek nörolojik rahatsızlığı olmamak. Göz: Görme engeli, şaşılık, gece körlüğü olmamak. Kulak Burun Boğaz (KBB): Özel güvenlik hizmetini yapmasına engel teşkil edebilecek işitme kaybı olmamak.)

j) 7/24 Kesintisiz hizmet sunumu gereği gece ve gündüz, iç ve dış mekanlarda vardiyalı sistemde çalışmaya engel durumu bulunmamak.

k) Cinsiyeti erkek olmak.

Destek Personeli Pozisyonu için (Temizlik);

a) Ortaöğretim (lise) kurumlarının herhangi bir alanından mezun olmak,

b) 2024 yılı Kamu Personel Seçme Sınavında (KPSS (B) Ortaöğretim), kontenjan dağılımı tablolarında (Tablo-1 ve Tablo-2) belirtilmiş KPSS puan türünden asgari 50 (elli) ve üzerinde puan almış olmak.

c) İlanın yayımlandığı tarihten önce aşağıda yer alan SGK meslek kodlarına ait temizlik işlerinde en az bir yıl çalışmış olmak. (Adaylardan tecrübe şartını özel sektördeki çalışmalarından sağlayanların 9412.04, 9622.01, 9332.10, 9613.01, 9123.01, 9112.02, 9112.07, 9613.04, 9613.05, 9112.06, 9112.13, 9613.03, 9112.09, 9112.01 meslek kodlarına ait işlerde çalıştığını gösteren e-devletten alacakları kare kodlu SGK hizmet döküm belgesini sisteme yüklemeleri gerekmektedir.)

d) Atamaya hak kazananların yetkili sağlık kuruluşlarından ilan tarihinden itibaren son 6 (altı) ay içerisinde alınmış "Bulaşıcı hastalığı ile temizlik görevini devamlı yapmasına engel olabilecek hastalık ve benzeri engelleri bulunmamaktadır." ibareli sağlık kurulu raporuna sahip olmaları gerekmektedir.

e) Genel Müdürlüğün tüm yerleşkelerinin iç ve dış mekanlarında vardiyalı olarak çalışabilmesine ilişkin herhangi bir engeli bulunmamak.

f) Her türlü temizlik, taşıma ve servis hizmeti işlerini yapmaya engeli bulunmamak.

Destek Personeli Pozisyonu için (Şoför);

a) Ortaöğretim (lise) kurumlarının herhangi bir alanından mezun olmak,

b) 2024 yılı Kamu Personel Seçme Sınavında (KPSS (B) Ortaöğretim), kontenjan dağılımı tablolarında (Tablo-1 ve Tablo-2) belirtilmiş KPSS puan türünden asgari 50 (elli) ve üzerinde puan almış olmak.

c) İlanın yayımlandığı tarihten önce şoförlük işlerinde en az 1 (bir) yıl çalışmış olmak. (Adaylardan tecrübe şartını özel sektördeki çalışmalarından sağlayanların şoför olarak en az 1 yıl çalıştığına dair çalışma belgesi ile bu işyerlerinde şoför olarak çalıştığını gösteren barkodlu SGK hizmet döküm belgesini (meslek kodu ayrımı yapılmaksızın) sisteme yüklemeleri gerekmektedir.)

d) Atamaya hak kazananların yetkili sağlık kuruluşlarından ilan tarihinden itibaren son 6 (altı) ay içerisinde alınmış "Şoförlük görevini devamlı yapmasına engel olabilecek hastalık ve benzeri engelleri bulunmamaktadır." ibareli sağlık kurulu raporu ile psiko-teknik açıdan sağlıklı olduklarını gösteren rapora sahip olmaları gerekmektedir.

e) En az B sınıfı sürücü belgesine sahip olmak.

Destek Personeli Pozisyonu için (Bakım-Onarım);

a) Ortaöğretim (lise) kurumlarının herhangi bir alanından mezun olmak,

b) 2024 yılı Kamu Personel Seçme Sınavında (KPSS (B) Ortaöğretim), kontenjan dağılımı tablosunda (Tablo-1) belirtilmiş KPSS puan türünden asgari 50 (elli) ve üzerinde puan almış olmak.

c) MEB onaylı elektrik, marangozluk, sıhhi tesisat ve boya-badana alanında ustalık veya kalfalık belgesine sahip olmak. (İlgili alanda mesleki ve teknik öğrenim mezunu olanların söz konusu belgeyi yüklemelerine gerek bulunmamaktadır.)

d) Atamaya hak kazananların yetkili sağlık kuruluşlarından ilan tarihinden itibaren son 6 (altı) ay içerisinde alınmış "Bulaşıcı hastalığı ile bakım ve onarım görevini devamlı yapmasına engel olabilecek hastalık ve benzeri engelleri bulunmamaktadır." ibareli sağlık kurulu raporuna sahip olmaları gerekmektedir.

e) Her türlü temizlik, taşıma ve servis hizmeti işlerini yapmaya engeli bulunmamak.

Destek Personeli Pozisyonu için (Sekretarya);

a) Kontenjan dağılımı tablosunda (Tablo-1) yer alan öğrenim programlarından veya bunlara denk olduğu Yükseköğretim Kurulu tarafından onaylanmış yurt içi veya yurt dışı programlarından mezun olmak,

b) 2024 yılı Kamu Personel Seçme Sınavında (KPSS (B) Önlisans), Kontenjan dağılımı tablosunda (Tablo-1) belirtilmiş KPSS puan türünden asgari 70 (yetmiş) ve üzerinde puan almış olmak,

c) Görevini devamlı görev yapmasına engel olabilecek hastalık, vücut ve akıl sağlığı sorunu bulunmamak. (Adayların sağlık beyan formunu iletmesi yeterli olacaktır.)

d) Her türlü taşıma ve servis hizmeti işlerini yapmaya engeli bulunmamak.

Orman Muhafaza Memuru Pozisyonu için:

a) Taşra teşkilatı kontenjan dağılımı tablosunda (Tablo-2) yer alan öğrenim programlarından veya bunlara denk olduğu Yükseköğretim Kurulu tarafından onaylanmış yurt içi veya yurt dışı programlarından mezun olmak,

b) 2024 yılı Kamu Personel Seçme Sınavında (KPSS (B) Önlisans), Kontenjan dağılımı tablosunda (Tablo-2) belirtilmiş KPSS puan türünden asgari 70 (yetmiş) ve üzerinde puan almış olmak,

c) Atamaya hak kazananların, yetkili sağlık kuruluşlarından ilan tarihinden itibaren son 6 (altı) ay içerisinde alınmış "Yurdun her yerinde görev yapabilir ve silah kullanabilir ibareli" sağlık kurulu raporuna sahip olmaları gerekmektedir.

d) Cinsiyeti erkek olmak.

Tekniker Pozisyonu için:

a) Kontenjan dağılımı tablolarında (Tablo-1 ve Tablo-2) yer alan öğrenim programlarından veya bunlara denk olduğu Yükseköğretim Kurulu tarafından onaylanmış yurt içi veya yurt dışı programlarından mezun olmak,

b) 2024 yılı Kamu Personel Seçme Sınavında (KPSS (B) Önlisans), Kontenjan dağılımı tablosunda (Tablo-1 ve Tablo-2) belirtilmiş KPSS puan türünden asgari 70 (yetmiş) ve üzerinde puan almış olmak,

c) Görevini devamlı görev yapmasına engel olabilecek hastalık, vücut ve akıl sağlığı sorunu bulunmamak. (Adayların sağlık beyan formunu iletmesi yeterli olacaktır.)

Büro Personeli Pozisyonu için:

a) Kontenjan dağılımı tablolarında (Tablo-1 ve Tablo-2) yer alan öğrenim programlarından veya bunlara denk olduğu Yükseköğretim Kurulu tarafından onaylanmış yurt içi veya yurt dışı programlarından mezun olmak,

b) 2024 yılı Kamu Personel Seçme Sınavında (KPSS (B) önlisans ve lisans), kontenjan dağılımı tablolarında (Tablo-1ve Tablo-2) belirtilmiş KPSS puan türünden asgari 70 (yetmiş) ve üzerinde puan almış olmak.

c) Görevini devamlı görev yapmasına engel olabilecek hastalık, vücut ve akıl sağlığı sorunu bulunmamak. (Adayların sağlık beyan formunu iletmesi yeterli olacaktır.)

Arkeolog, Avukat, Biolog, Mühendis, Mimar, Şehir Plancısı, Veteriner Hekim Pozisyonları için:

a) Kontenjan dağılımı tablolarında (Tablo-1 ve Tablo-2) yer alan öğrenim programlarından veya bunlara denk olduğu Yükseköğretim Kurulu tarafından onaylanmış yurt içi veya yurt dışı programlarından mezun olmak,

b) 2024 yılı Kamu Personel Seçme Sınavında (KPSS (B) Lisans), kontenjan dağılımı tablolarında (Tablo-1ve Tablo-2) belirtilmiş KPSS puan türünden asgari 70 (yetmiş) ve üzerinde puan almış olmak.

c) Görevini devamlı görev yapmasına engel olabilecek hastalık, vücut ve akıl sağlığı sorunu bulunmamak. (Adayların sağlık beyan formunu iletmesi yeterli olacaktır.)

d) Avukat pozisyonuna atanmaya hak kazananların avukat ruhsatnamesine sahip olması gerekmektedir.

3. BAŞVURU YERİ, TARİHİ, ŞEKLİ VE İSTENİLEN BELGELER

1- Başvurular; e-Devlet "Tarım ve Orman Bakanlığı-Kariyer Kapısı Kamu İşe Alım" hizmeti aracılığıyla veya Kariyer Kapısı Platformu (https://kariyerkapisi.gov.tr) internet adresi üzerinden 7 Ekim 2025 ve 17 Ekim 2025 tarihleri arasında çevrimiçi olarak yapılacaktır. Başvuru için gerekli olan bilgiler ve elektronik ortamda iletilecek belge örnekleri aşağıdaki gibidir;

a) Eğitimini yurtdışında tamamlayan adayların diploma denklik gösterir belgesinin aslı veya onaylı örneği,

b) Adayların Mezuniyet belgelerinde yazan öğrenim bölümü/programı adları belirtilen öğrenim bölümü/programı adları ile eşdeğer olmakla birlikte tablolarda yer almıyor ise mezuniyet bölümlerinin eşdeğer olduğuna dair Yüksek Öğretim Kurulu Başkanlığı (YÖK) tarafından onaylı eşdeğerlik belgesi,

c) Koruma ve Güvenlik Görevlisi pozisyonu için ilk başvuru tarihi itibarıyla geçerlilik süresinin dolmasına en az 6 (altı) ay kalmış olan özel güvenlik görevlisi kimlik kartı.

d) Destek Personeli (Temizlik) pozisyonu için ilgili alanda SGK veya kamu hizmetini gösterir nitelikte hizmet dökümü,

e) Destek Personeli (Şoför) pozisyonu için ilgili alanda SGK veya kamu hizmetini gösterir nitelikte hizmet dökümü,

f) Destek Personeli (Şoför) pozisyonu için en az B sınıfı sürücü belgesi,

g) Destek Personeli (Bakım-onarım) pozisyonu için ilgili alanda MEB onaylı ustalık veya kalfalık belgesi,

h) İlanda yer alan pozisyonlara başvuran adaylardan özel şartlarda yer alan sağlık koşullarını taşıdıklarına dair beyan belgesi (Ekte yer alan Sağlık Beyan Formu doldurularak eklenecektir.).

2- Özel şartlarda sağlık kurulu raporu istenecek pozisyonlara başvuranlardan temin edilecek sağlık kurulu raporları, atanmaya hak kazanan adaylardan istenecektir. Koruma ve güvenlik görevlisi pozisyonlarına başvuran adayların teslim edilecek sağlık kurulu raporlarında boy ve kilo bilgilerinin yer alması gerekmektedir.

3- Adaylardan istenilen belgeler Kariyer Kapısı sistemine tanımlanmış olup kayıt başvuru esnasında e-Devlet sisteminden online olarak eklenecektir.

4- Başvurular Kariyer Kapısı üzerinden yapılacak olup posta veya diğer yollarla yapılan başvurular kabul edilmeyecektir.

5- Adaylar, ilan edilen gruplardan yalnız birine müracaat edebilecektir. Birden fazla başvuru yapıldığı takdirde her iki başvuru da geçersiz sayılacaktır.

6- Pozisyon ve ihtiyaç durumuna göre ilanın her aşamasında kontenjanlar arasındaki sayısal belirleme, iptal ve/veya değişiklik yapma yetkisi Doğa Koruma ve Mili Parklar Genel Müdürlüğüne aittir.

7- Başvuru bilgilerinin doğruluğu, fotoğrafın uygunluğu ve başvuru onaylandıktan sonra ortaya çıkabilecek yanlışlıktan veya eksiklikten aday sorumludur. Bu hususlara riayet etmeyen adaylar herhangi bir hak talebinde bulunamayacaktır.

4. BAŞVURULARIN DEĞERLENDİRİLMESİ VE DUYURULMASI

a) Genel Müdürlüğümüz tarafından süresi içinde yapılan başvurular, belgelerin eksik olup olmadığı ve adayların belirlenen şartları taşıyıp taşımadıkları bakımından incelenecek olup, ilanda belirtilen başvuru şartlarını taşıyan adayların başvuruları kabul edilecektir.

b) Başvurusu kabul edilenlerden, yazılı ve/veya sözlü sınav yapılmaksızın, 2024 yılı KPSS (B) grubunun ilgili puan türünde en yüksek puanlı adaydan başlamak üzere yapılacak sıralama esas alınmak suretiyle ilan edilen ünvanların adedi kadar asil aday ile asil aday sayısının 2 (iki) katı kadar da yedek aday belirlenecektir.

c) Adayların yerleştirme sonuçları duyurusu Doğa Koruma ve Milli Parklar Genel Müdürlüğü internet adresi (https://www.tarimorman.gov.tr/DKMP) üzerinden yapılacak ve Kariyer Kapısı-Kamu İşe Alım Platformu üzerinden öğrenilebilecek olup adaylara ayrıca tebligat yapılmayacaktır.

d) Belirlenen asil ve yedek adayların işe başlamaları için gerekli belgeler, bu belgelerin teslim edileceği yer ve zaman, Doğa Koruma ve Milli Parklar Genel Müdürlüğü resmi internet sayfasında (https://www.tarimorman.gov.tr/DKMP) son başvuru tarihini takip eden on beş (15) gün içinde yayımlanacak olup, sonuç ilanları tebliğ mahiyetinde olacağından adaylara ayrıca tebligat yapılmayacaktır.

e) Asil olarak kazanan adaylardan süresi içerisinde istenilen belgeleri tamamlayarak başvurmayan, feragat eden veya aranan şartları taşımadığı tespit edilenlerin yerine yedek adaylardan sırasıyla yerleştirme yapılacaktır. Son adayların puanının eşit olması halinde mezuniyet tarihi önce olan, bunun da eşit olması halinde doğum tarihi önce olan adaya öncelik tanınacaktır. Ayrıca, adaylar yerleştirme sonuçlarına ilişkin bilgilere Kariyer Kapısı üzerinden ulaşabilecektir.

f) İlan edilen yedek listede yer alanların yukarıda belirtilen durumlardan kaynaklanacak alım hakları, sonuçların ilan tarihini takip eden 1 (bir) yıl için geçerlidir ve daha sonraki sınavlar için müktesep hak veya herhangi bir öncelik teşkil etmez.

5. DİĞER HUSUSLAR

a) KPSS'de yüksek puan almak, ilanda yer alan sözleşmeli pozisyona yerleştirmede tek başına hak kazandırmaz. Pozisyon için belirtilen genel ve özel şartlara sahip olmayan adaylar değerlendirmeye alınmayacaktır.

b) İlgili pozisyona atanmak için gerekli koşullardan herhangi birini taşımadığı halde eksik evrak, yanlış, yanıltıcı veya gerçek dışı beyanda bulunanlar ile bilgilerindeki tutarsızlıklar yüzünden değerlendirmeye alınmayan adaylar bu durumdan dolayı bir hak iddia edemeyecektir.

c) Başvuru ve sözleşme imzalama işlemleri sırasında gerçeğe aykırı beyanda bulunduğu veya herhangi bir şekilde gerçeği sakladığı tespit edilenlerin sözleşmesi yapılmaz, sözleşme yapılmış ise feshedilir. Ayrıca yanlış bilgi ve sahte belge vererek ya da belgelerde tahrifat, silinti ve kazıntı yapmak suretiyle Kurumu yanıltanlar hakkında, Cumhuriyet Savcılığına suç duyurusunda bulunulur.

d) Atanmaya hak kazananların göreve başlama tebligatları yazılı olarak yapılır. İlgililerden, ikamet adresinin bulunduğu il pozisyonlarına yerleşenler göreve başlama yazısının kendilerine tebliğ edildiği günü takip eden işgünü, diğer illerde bulunanlar ise tebliğ tarihinden

itibaren 15 (on beş) gün içerisinde göreve başlamak zorundadırlar. Yapılan tebligata rağmen, ispatı belgeyle mümkün mücbir sebepler olmaksızın süresi içerisinde göreve başlamayanların ya da tebligat adreslerinde bulunmamaları nedeniyle tebligat yapılamamış olanların atama onayları iptal edilir. Belgeyle ispatı mümkün mücbir sebepler (askerlik hariç) nedeniyle göreve başlamama hali 2 (iki) ayı aşamaz.

e) Atamaya hak kazanan adaylardan sözleşmesi imzalanarak göreve başlayanlar, yerleştiği ildeki Doğa Koruma ve Milli Parklar Müdürlüğü ile bu müdürlüğün bütün alt birimlerinde görevlendirilebilir.

f) İlanda bulunmayan hükümler için genel mevzuat hükümleri geçerlidir.

Kamuoyuna duyurulur.

6. BİLGİ ALMA

İlan ve süreçle ilgili her türlü bilgi aşağıdaki telefon numaralarından, Kurum internet sayfasından (https://www.tarimorman.gov.tr/DKMP) veya Doğa Koruma ve Milli Parklar Genel Müdürlüğü Personel Dairesi Başkanlığı'ndan temin edilebilir.

Bilgi Alınacak Telefon Numarası: 0 312 207 6177-6383

<>Maaş robotuna ulaşmak için tıklayınız

İlanlardan anında haberdar olabilmek için Android ve IOS uygulamalarımızı indirip bildirimleri açabilirsiniz. Memurlar.net'in Android uygulaması için tıklayınız.