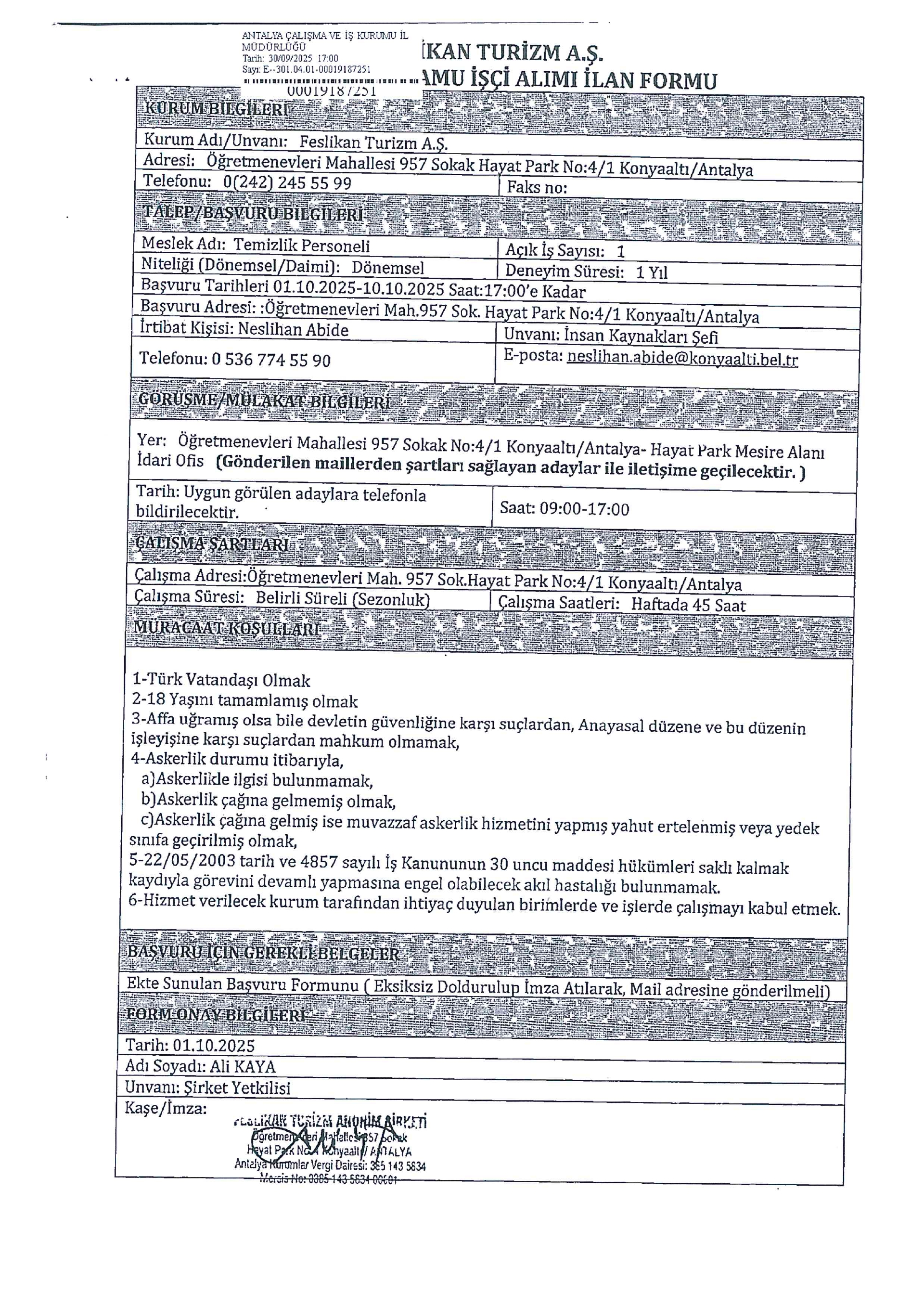
Antalya Feslikan Turizm 2 İşçi Alacak

Antalya Feslikan Turizm 2 İşçi Alacak. Son başvuru tarihi 10 Ekim 2025

Kaynak : İşkur
İlan Giriş : 01 Ekim 2025 22:57, Son Güncelleme : 01 Ekim 2025 23:19
Antalya Feslikan Turizm 2 İşçi Alacak
<>Maaş robotuna ulaşmak için tıklayınız

İlanlardan anında haberdar olabilmek için Android ve IOS uygulamalarımızı indirip bildirimleri açabilirsiniz. Memurlar.net'in Android uygulaması için tıklayınız.