Düzce Cumtaş 5 İşçi Alacak

Düzce Cumtaş 5 İşçi Alacak. Son başvuru tarihi 6 Ekim 2025

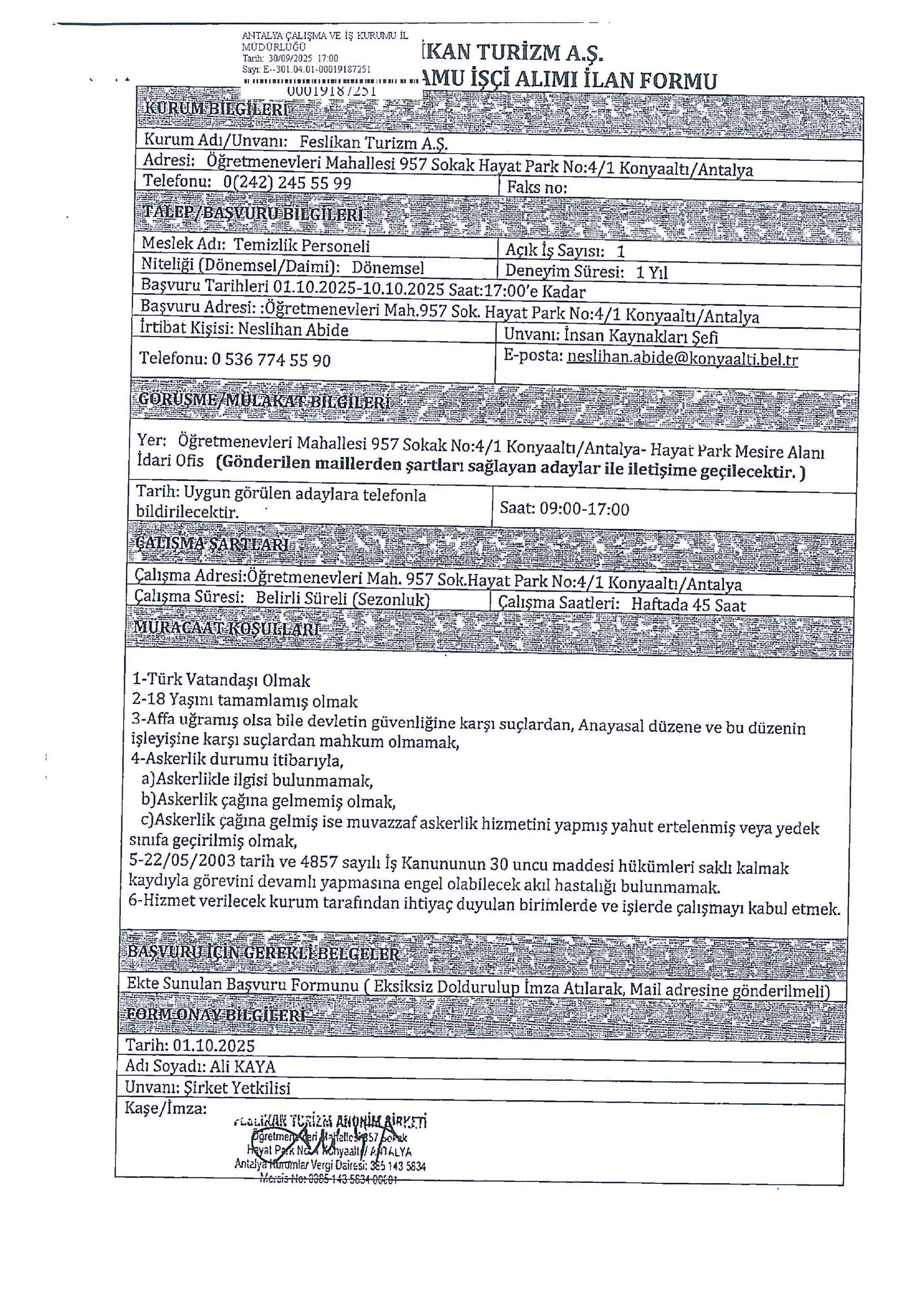
Kaynak : İşkur
İlan Giriş : 01 Ekim 2025 22:54, Son Güncelleme : 01 Ekim 2025 23:20
Düzce Cumtaş 5 İşçi Alacak
<>Maaş robotuna ulaşmak için tıklayınız

İlanlardan anında haberdar olabilmek için Android ve IOS uygulamalarımızı indirip bildirimleri açabilirsiniz. Memurlar.net'in Android uygulaması için tıklayınız.