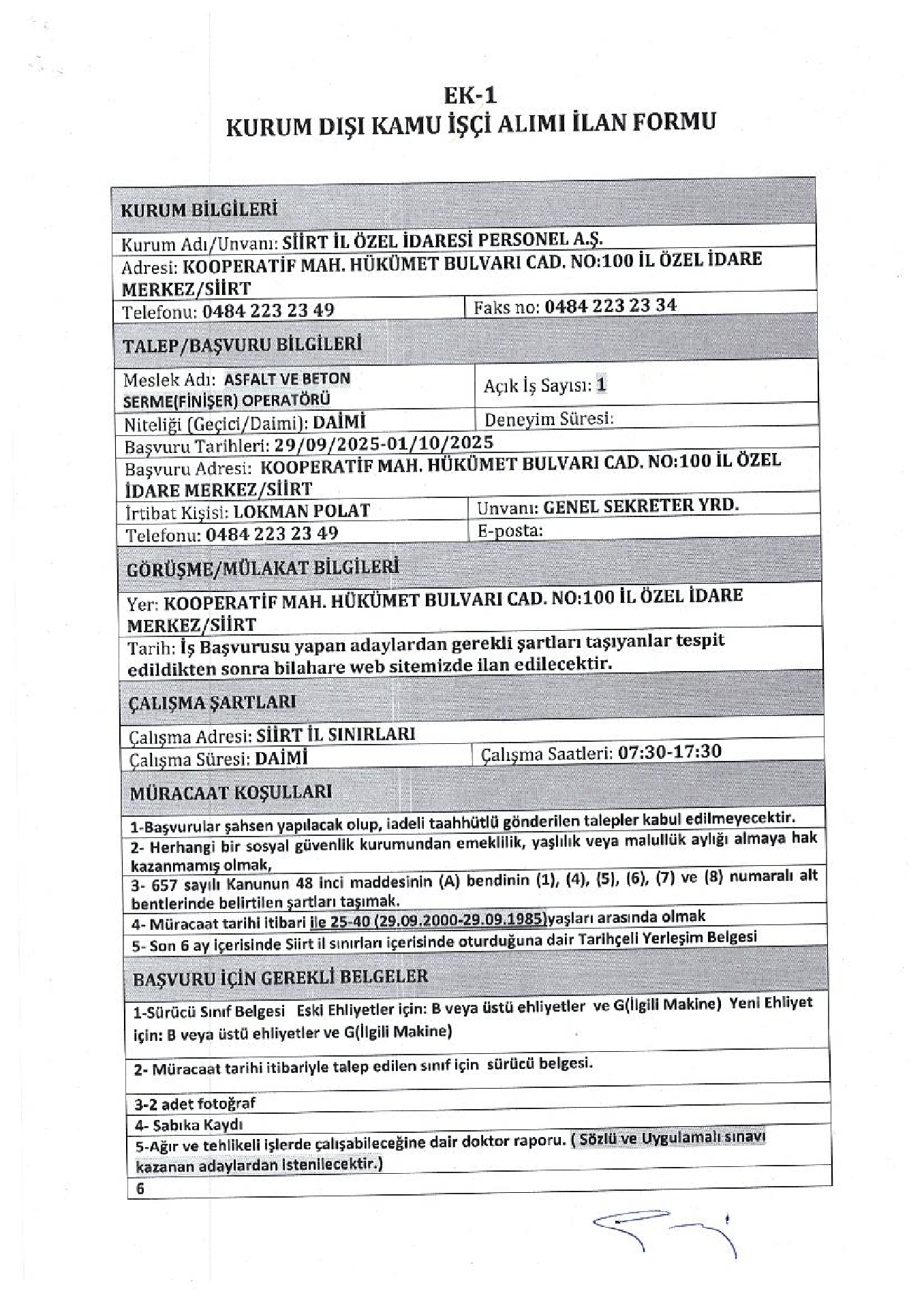
Siirt İl Özel İdaresi 1 İşçi Alacak

Siirt İl Özel İdaresi 1 İşçi Alacak. Son başvuru tarihi 1 Ekim 2025

Kaynak : İşkur
İlan Giriş : 29 Eylül 2025 22:37, Son Güncelleme : 29 Eylül 2025 23:18
Siirt İl Özel İdaresi 1 İşçi Alacak
<>Maaş robotuna ulaşmak için tıklayınız

İlanlardan anında haberdar olabilmek için Android ve IOS uygulamalarımızı indirip bildirimleri açabilirsiniz. Memurlar.net'in Android uygulaması için tıklayınız.