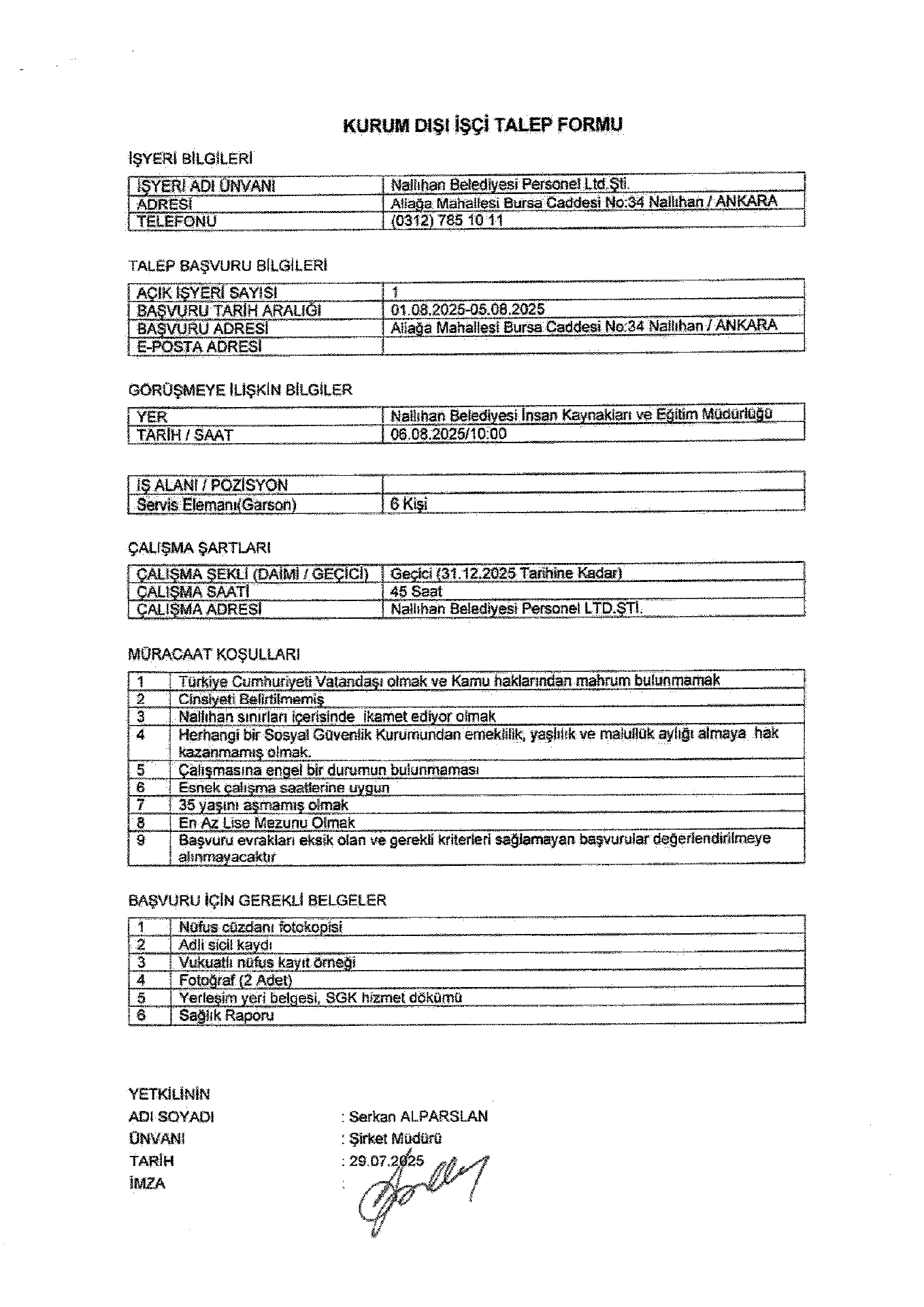
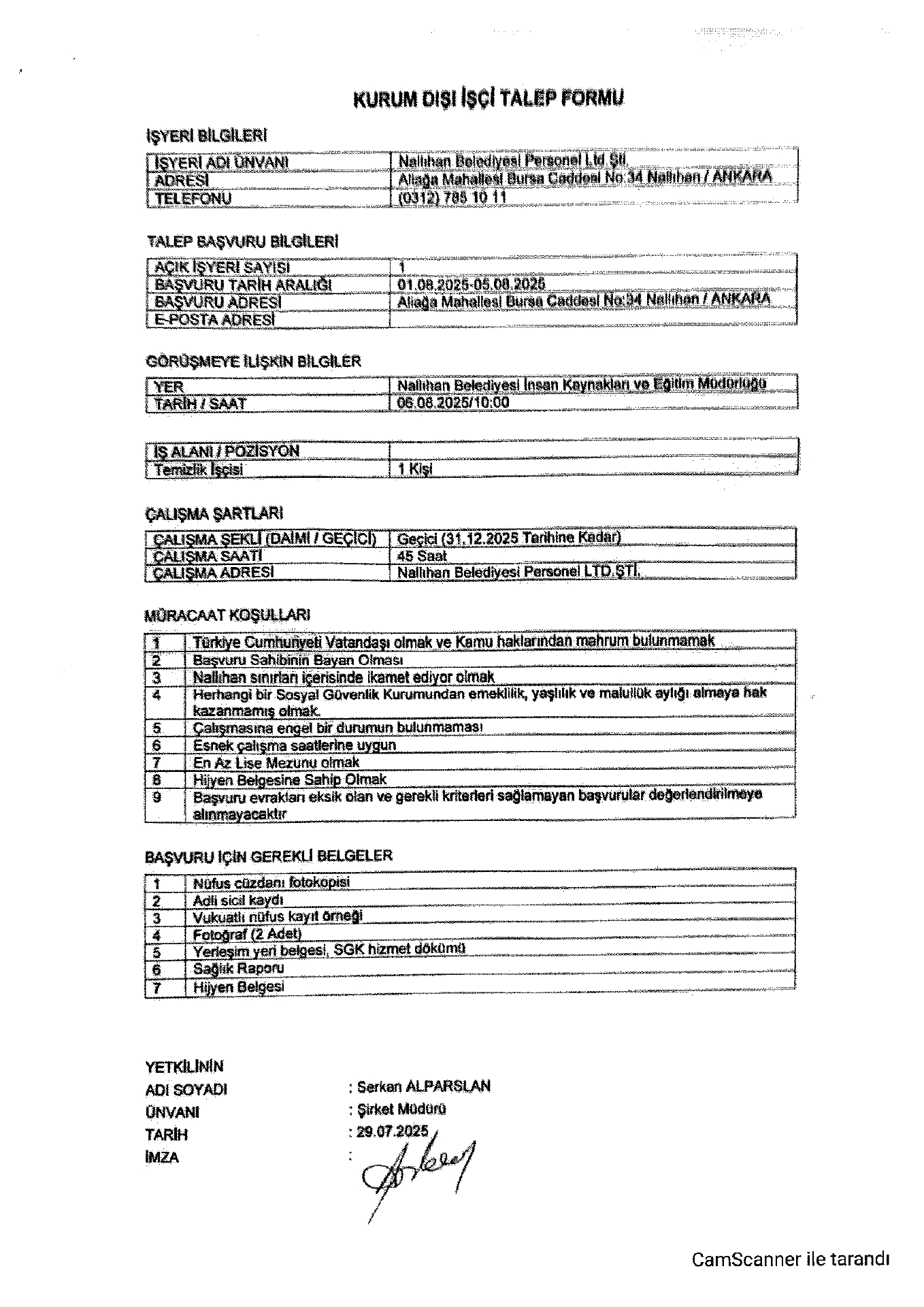
Ankara Nallıhan Belediyesi 4 İşçi Alacak

Ankara Nallıhan Belediyesi 4 İşçi Alacak. Son başvuru tarihi 5 ağustos 2025

Kaynak : İşkur
İlan Giriş : 01 Ağustos 2025 23:44, Son Güncelleme : 01 Ağustos 2025 23:18
Ankara Nallıhan Belediyesi 4 İşçi Alacak
<>Maaş robotuna ulaşmak için tıklayınız

İlanlardan anında haberdar olabilmek için Android ve IOS uygulamalarımızı indirip bildirimleri açabilirsiniz. Memurlar.net'in Android uygulaması için tıklayınız.