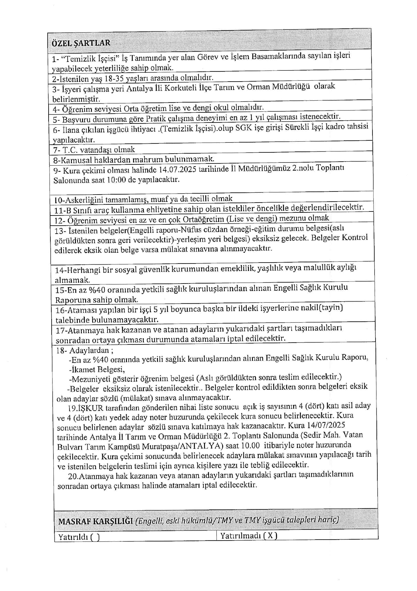
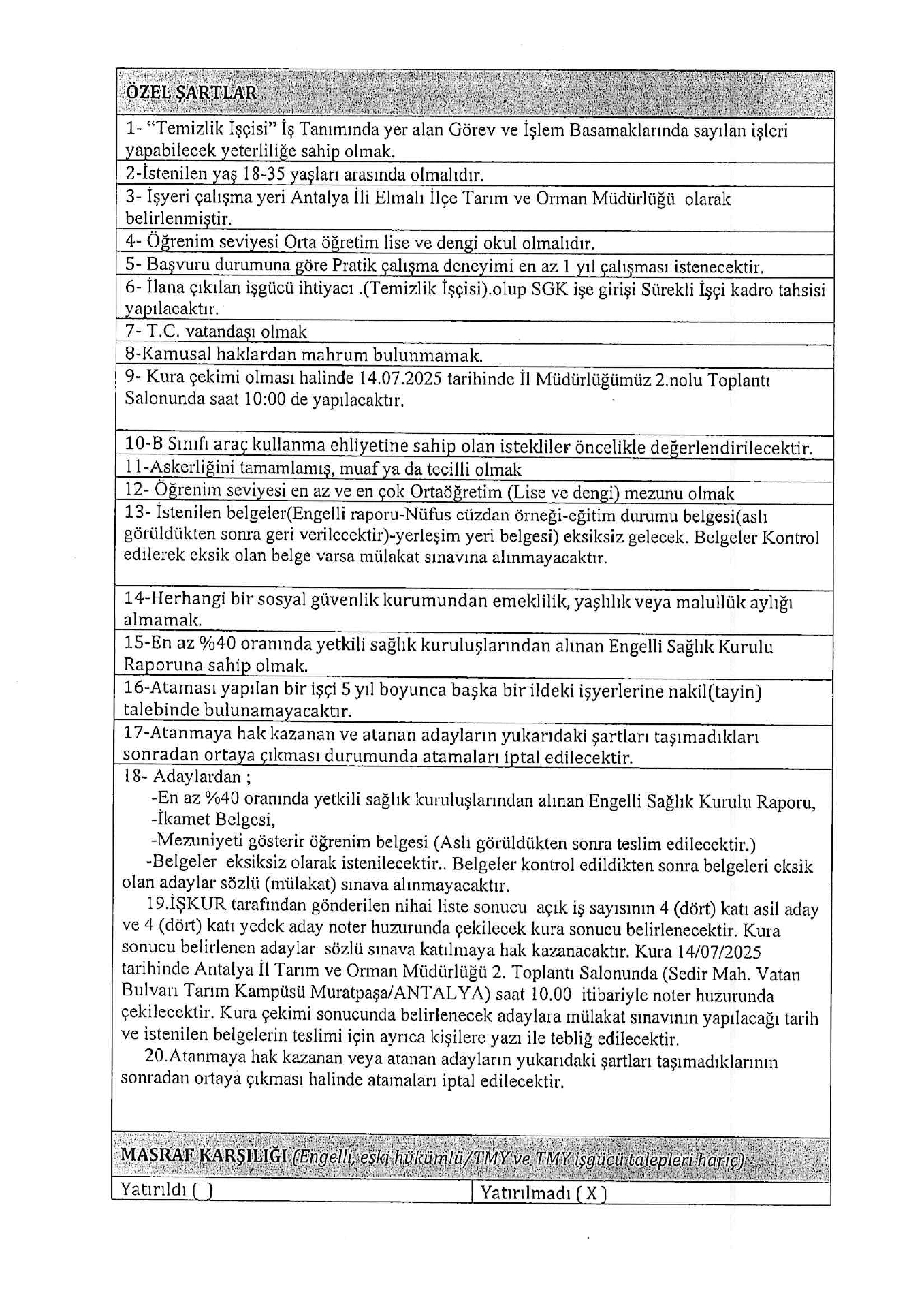
Tarım ve Orman Bakanlığı 9 Engelli İşçi Alacak

Tarım ve Orman Bakanlığı 9 Engelli İşçi Alacak. Son başvuru tarihi 4 temmuz 2025

Kaynak : Kamuilan
İlan Giriş : 30 Haziran 2025 02:36, Son Güncelleme : 30 Haziran 2025 01:05
Tarım ve Orman Bakanlığı 9 Engelli İşçi Alacak
<>Maaş robotuna ulaşmak için tıklayınız

İlanlardan anında haberdar olabilmek için Android ve IOS uygulamalarımızı indirip bildirimleri açabilirsiniz. Memurlar.net'in Android uygulaması için tıklayınız.