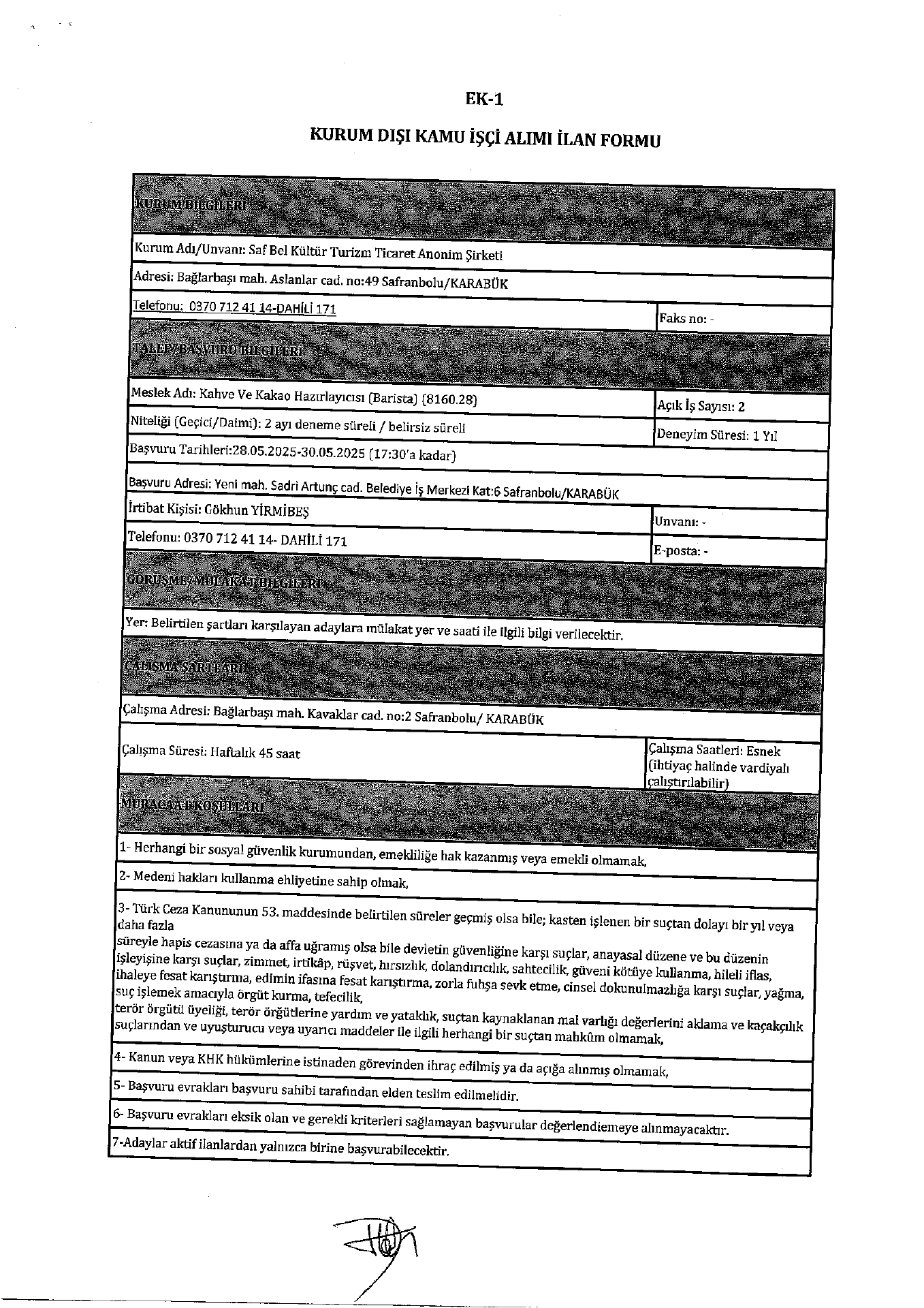
Karabük Saf-Bel 2 İşçi Alacak

Karabük Saf-Bel 2 İşçi Alacak. Son başvuru tarihi 30 mayıs 2025

Kaynak : İşkur
İlan Giriş : 28 Mayıs 2025 23:38, Son Güncelleme : 28 Mayıs 2025 23:08
Karabük Saf-Bel 2 İşçi Alacak
<>Maaş robotuna ulaşmak için tıklayınız

İlanlardan anında haberdar olabilmek için Android ve IOS uygulamalarımızı indirip bildirimleri açabilirsiniz. Memurlar.net'in Android uygulaması için tıklayınız.