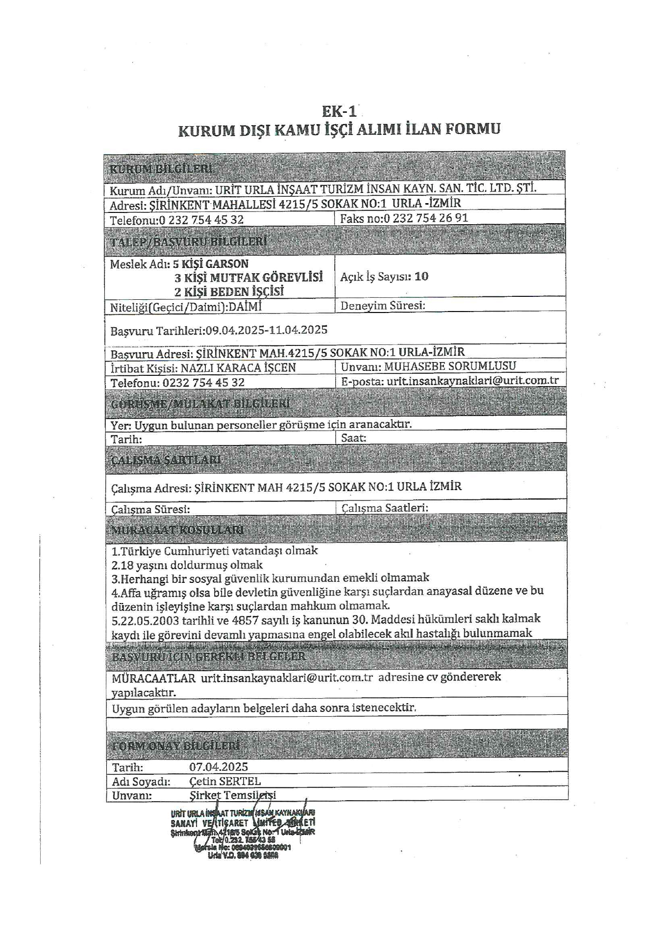
İzmir Urit Urla İnşaat 12 İşçi Alacak

İzmir Urit Urla İnşaat 12 İşçi Alacak. Son başvuru tarihi 11 nisan 2025

Kaynak : İşkur
İlan Giriş : 08 Nisan 2025 00:38, Son Güncelleme : 08 Nisan 2025 00:51
İzmir Urit Urla İnşaat 12 İşçi Alacak
<>Maaş robotuna ulaşmak için tıklayınız

İlanlardan anında haberdar olabilmek için Android ve IOS uygulamalarımızı indirip bildirimleri açabilirsiniz. Memurlar.net'in Android uygulaması için tıklayınız.